Yahalom Posted May 15, 2010 Report Share Posted May 15, 2010 :-F Felons, illegal immigrants and all others banned from buying a gun in the United States have a new alternative if they’re looking to get their hands on a firearm: Just buy a toy. A FoxNews.com investigation reveals that a popular recreational pellet gun can be converted easily to a real semi-automatic weapon. And while the federal Bureau of Alcohol Tobacco, Firearms and Explosives is already aware of the issue, these “toys” -- new, top-of-the-line airsoft rifles -- continue to be sold throughout the country. Like paintball without the paint, the propane-powered airsoft guns are designed to shoot quarter-inch plastic pellets and are generally used for recreation or in military and law enforcement training. When the ATF seized a shipment of 30 of these guns in October from a port in Tacoma, Wash., it said they could be “readily convertible” to machine guns. But gun experts called that claim absurd and said the ATF was overstepping its bounds. Now one of those critics is reversing his position, saying at least one airsoft manufacturer has taken the quest to be authentic a little too far. “The airsoft can be converted to an AR-15,” firearms manufacturer Leo Gonnuscio told FoxNews.com after testing the make and model of airsoft guns seized by the ATF. Having concluded that several other airsoft guns could not be converted to fire real ammunition, Gonnuscio said he was surprised to find that he was able to to transform this particular gun to the real thing -- and with “minimal work,” because its bottom half, or “receiver,” is so similar to an AR-15's. To make the airsoft receiver function just like an AR-15’s, Gonnuscio said, “All you have to do is drill one hole.” And once that's out of the way, the rest is even easier. The AR-15 receiver is the only part of the semi-automatic rifle that is given a serial number, and is the only part that is regulated. All the remaining parts of the real thing can be purchased by anyone – any kid, criminal or terrorist. The cost of buying the Taiwan-made airsoft gun and all the parts needed to convert it to an AR-15 comes to roughly $1,100 -- more than the cost of some real AR-15s. But someone who can’t clear a background check or has been refused a gun for any other reason could use this method to make his own lethal weapon, Gonnuscio said. Making it into a machine gun, he said, would require yet another conversion, and the makeshift gun would likely be able to fire only 15-20 rounds before it stopped working due to the pressure it would have to withstand while firing in an automatic fashion. But as semi-automatic weapon, Gonnuscio said, “It may not last forever, but they’ve got a gun to get the job done that they were assigned to do, and nobody knows the wiser.” The ATF has made no reported moves to regulate or seize any more of the airsoft guns, which continue to be sold in stores around the country, and it appears to be bowing to critics and reconsidering its stance on the guns' convertibility. “We’re having to take a serious look at this, so it’s just something that we’re reviewing, and I’m hoping we’ll have some information that we can make available to the public certainly very soon,” ATF spokesman Drew Wade told FoxNews.com. But firearms expert Len Savage said the ATF is taking a “serious look” at the wrong issue -- or, more specifically, the wrong part of the gun. The reason it’s possible to make these airsoft receivers function as real receivers is that all an AR-15 receiver does is hold the gun together, Savage said. So with enough gun knowledge, almost anything can be made into a receiver. “There’s a line of AR-15 firearms out there where the lower (the receiver) is made entirely of injection molded plastic … It could be made of cardboard and scotch tape,” he said. The most important part of an AR-15, and the most difficult part to replicate, he said, is the upper half of the gun -- which is unmarked, unregulated and readily available for purchase. "The ATF is regulating the wrong part as a firearm receiver, not the part that goes bang," Savage said. “The upper is what contains the barrel, the breech or bolt, that’s what contains all the pressure,” he added. The reason the lower half of the AR-15 is the part with the serial number, and thus classified as the receiver, is that when the gun was created it was up to the manufacturer to choose the location of the gun’s serial number, he said. Because the bottom of the gun has a flat surface, it was the easiest to mark. And though federal law has since defined a gun’s receiver as the part “which provides housing for the hammer, bolt, breechblock and firing mechanism,” Savage says the bureau has continued to mark and regulate the lower part of the AR-15 to avoid confusion. “In the stream of commerce, you’d have uppers that were marked and regulated and then lowers that were marked and regulated, you could see the confusion on a dealer basis” in determining which parts require licensing and which don’t, Savage said. But even though the upper half of the gun can be bought by anyone, Gonnuscio still says that banning the airsoft receivers and implementing a few new rules for airsoft manufacturers could be a good start to keeping unregulated AR-15s off the street. “I would hope that the ATF applies pressure to the manufacturers of these airsoft guns to redesign them so they cannot be converted," he said. "Make them move the pin holes ... so that an upper can’t be attached to it without major machining. "Fill in some of that gap so that they would literally have to chuck this thing up in a mill and totally reconfigure it to work. Tighten up the magazine well so a regular magazine won’t fit in it.” And because the U.S. is such a big market for these airsoft guns, Gonnuscio said, a foreign manufacture would change the product if its current design were banned here. “There are tons of good uses for these guns: We use them for training, kids do reenacting with them, kids get out there and play just like the old days. We played BB gun wars when we were kids and we survived. These are little plastic balls that are shot by electricity or propane. "So let them have their toys. Just make sure they're still toys.” http://www.foxnews.com/us/2010/05/06/exclu...ned-real-thing/ Quote Link to post Share on other sites
BoBeR40 Posted May 16, 2010 Report Share Posted May 16, 2010 Polska wersja http://www.sfora.pl/Karabin-zabawka-zabija...-go-miec-a20206 Quote Link to post Share on other sites
Pietracha Posted May 16, 2010 Report Share Posted May 16, 2010 To jest polska wersja? To jakieś nieudolne tłumaczenie, gdzie ominięto większość tekstu i jeszcze popełniono błędy. Albo tłumaczyć coś dobrze albo się za to wcale nie zabierać bo więcej z tego szkody niż pożytku. Quote Link to post Share on other sites
ruffin-89 Posted May 16, 2010 Report Share Posted May 16, 2010 Równie dobrze, imadło i młotek można przerobić na broń. Quote Link to post Share on other sites
Steiner Posted May 16, 2010 Report Share Posted May 16, 2010 Mała zmiana wątku. A propos zatrzymania przez ATF transportu WE temat podchwyciły najwyraźniej także polskie tzw. "media". Link: http://www.sfora.pl/Karabin-zabawka-zabija...-go-miec-a20206 Równie dobrze mogli to zamieścić na Pudelku. Quote Link to post Share on other sites
Guest Nazgool Posted May 16, 2010 Report Share Posted May 16, 2010 Mała zmiana wątku. A propos zatrzymania przez ATF transportu WE temat podchwyciły najwyraźniej także polskie tzw. "media". Link: http://www.sfora.pl/Karabin-zabawka-zabija...-go-miec-a20206 Równie dobrze mogli to zamieścić na Pudelku. Swoją drogą jak zobaczyłem planik ostrej wrzucony przez ... ehm ? Pewnie Tytusa to tak jakbym widział planik gazówki WE. Chodzi mi oczywiście o lower receiver. Quote Link to post Share on other sites
sadowski25 Posted May 17, 2010 Report Share Posted May 17, 2010 Jak poczytacie komentarze pod tym artykulikiem to padniecie... Quote Link to post Share on other sites
macio68 Posted May 17, 2010 Report Share Posted May 17, 2010 Jak poczytacie komentarze pod tym artykulikiem to padniecie... Sorry, ale ja nie dałem rady, trochę za duża dawka bzdur jak na jeden raz... Ale, ale, pytanie: może ktoś podpowie jak ufiksować w magu na CO2 taką silikonową uszczeleczkę, która powinna być w "komorze" na nabój przy zaworze, a w jednym z moich magów oddaliła się z MSD :poddanie: ? Quote Link to post Share on other sites
tytus_5 Posted May 17, 2010 Report Share Posted May 17, 2010 (edited) :) - z gazówkami (pistolety gazowe z lat 90 na gaz CS) tez można było przerobić na ostre, i wystrzelić ale .......... może z 2 - 3 razy a potem następowało wielkie BUM ......... dla mnie bzdura ale .......... ktoś gdzieś coś wygrzebał i ......... pytanie dlaczego nie sprawdzają dokładnie WA/WOC i Inokatsu (z inokatsu w wymiarach jest przeniesiona 1:1) zastanawia mnie to - ale zawsze można to rozpatrywać w formie ciekawostki. Macio mam to samo samo w jednym magu - i szukam takiej uszczelki ;/ Edited May 17, 2010 by tytus_5 Quote Link to post Share on other sites
macio68 Posted May 17, 2010 Report Share Posted May 17, 2010 (edited) :) pytanie dlaczego nie sprawdzają dokładnie WA/WOC i Inokatsu (z inokatsu w wymiarach jest przeniesiona 1:1) zastanawia mnie to - ale zawsze można to rozpatrywać w formie ciekawostki. Macio mam to samo samo w jednym magu - i szukam takiej uszczelki ;/ Tiaaaa, to taka ciekawostka, którą my zlejemy, zdając sobie sprawę z jej absurdalności. Ale ludzie, którzy nie mają pojęcia o airsofcie w ogólności, o replikach, GBBRach czy AEGach - gotowi wziąć takie doniesienie na poważnie, a to może mieć przykre konsekwencje... INO - fakt, zwłaszcza, że jeśli idzie o odwzorowanie "środka" lowera to wg wszelkich ocen INO jest najwierniejsze... Natomiast co do uszczelki - ja na szczęście uszczelkę znalazłem (przykleiła się do CO2-naboju), bo zapasowych raczej nigdzie nie widziałem. I kolejny kłopot... Edited May 17, 2010 by macio68 Quote Link to post Share on other sites
Aliant Posted May 17, 2010 Report Share Posted May 17, 2010 Mała zmiana wątku. A propos zatrzymania przez ATF transportu WE temat podchwyciły najwyraźniej także polskie tzw. "media". Link:http://www.sfora.pl/Karabin-zabawka-zabija...-go-miec-a20206 Równie dobrze mogli to zamieścić na Pudelku. Dwa posty wyżej jest ten sam link do tego pseudoinformacyjnego portalu. Wystarczy sobie poczytać komentarze - poziom Onetu. Quote Link to post Share on other sites
Viamortis Posted May 17, 2010 Report Share Posted May 17, 2010 Sorry, ale ja nie dałem rady, trochę za duża dawka bzdur jak na jeden raz... Również wymiękłem :roll: Quote Link to post Share on other sites
Marcinek83 Posted May 18, 2010 Report Share Posted May 18, 2010 Z tego co kiedyś w niusach było to nikt nie udowodnił ze można przerobić taki karabin, nikt jeszcze tego nie zrobił. Media szukają tematu, jednak warto komentować, każdy przecież ma swoje zdanie. Quote Link to post Share on other sites
Amadem Posted May 29, 2010 Report Share Posted May 29, 2010 Z tego co kiedyś w niusach było to nikt nie udowodnił ze można przerobić taki karabin, nikt jeszcze tego nie zrobił. Media szukają tematu, jednak warto komentować, każdy przecież ma swoje zdanie. Nieprawda. Nawet w Polsce byl taki przypadek. Ale to o niczym nie świadczy. Jak ktoś będzie chciał skonstruować broń to i tak ją skonstruuje. INO - fakt, zwłaszcza, że jeśli idzie o odwzorowanie "środka" lowera to wg wszelkich ocen INO jest najwierniejsze... Teoretycznie Ino jest najwierniejsze. Ale tylko gdy mówimy o całym "środku", Natomiast jeśli wszystko wybebeszymy i porównamy tylko Lower Receivery, to WE faktycznie jest bliższe oryginału (m.in sposób blokowania selektora). Quote Link to post Share on other sites
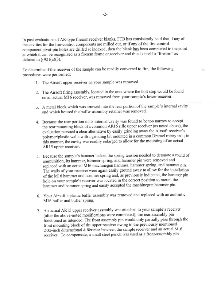
Yahalom Posted June 7, 2010 Author Report Share Posted June 7, 2010 (edited) Kangur wrzucił znalezione skany dokumentów sporządzonych przez ATF http://2.bp.blogspot.com/_L3PtSo6_gFo/TAqF...1600/Page+1.png http://1.bp.blogspot.com/_L3PtSo6_gFo/TAqF...1600/Page+2.png http://4.bp.blogspot.com/_L3PtSo6_gFo/TAqF...1600/Page+3.png Dokumenty zawierają piękną instrukcję do przeróbki :D Edited June 7, 2010 by Arafat (KSK) Quote Link to post Share on other sites
Westie Posted December 6, 2010 Report Share Posted December 6, 2010 W końcu doczekaliśmy się epilogu tej sprawy. Wkroczyło NRA, czyli National Riflemen Association, i rozmowa z ATF była następująca: "Do waszych obowiązków należy zajmowanie się alkoholem, tytoniem i bronią. A to są zabawki. Zabawkami nie powinniście się zajmować, więc spadówa." http://noairsoftforoldmen.blogspot.com/2010/11/and-now-ggbr-m4m16s-are-legal-again-ta.html Quote Link to post Share on other sites
Guest (ID:6452) Posted December 6, 2010 Report Share Posted December 6, 2010 "Wystarczy wywiercić jeden otwór i mamy prawdziwy karabin - mówi foxnews.com ekspert ds. broni." Hahahaha przy tym to już padłem. Quote Link to post Share on other sites
wiciok Posted December 7, 2010 Report Share Posted December 7, 2010 (edited) Wystarczy wywiercić jeden otwór i mamy prawdziwy karabin - mówi foxnews.com ekspert ds. broni. Oryginalny fragment: To make the airsoft receiver function just like an AR-15’s, Gonnuscio said, “All you have to do is drill one hole.” :bialaflaga: :bialaflaga: Edited December 7, 2010 by wiciok Quote Link to post Share on other sites
relevant Posted December 10, 2010 Report Share Posted December 10, 2010 "Do waszych obowiązków należy zajmowanie się alkoholem, tytoniem i bronią. A to są zabawki. Zabawkami nie powinniście się zajmować, więc spadówa." http://noairsoftforoldmen.blogspot.com/2010/11/and-now-ggbr-m4m16s-are-legal-again-ta.html No, według linku dyskusja była ciut bardziej rzeczowa, ale jednak taki właśnie efekt. Od tej pory NRA będzie kojarzyć mi się nieco lepiej :) Quote Link to post Share on other sites
Recommended Posts
Join the conversation
You can post now and register later. If you have an account, sign in now to post with your account.